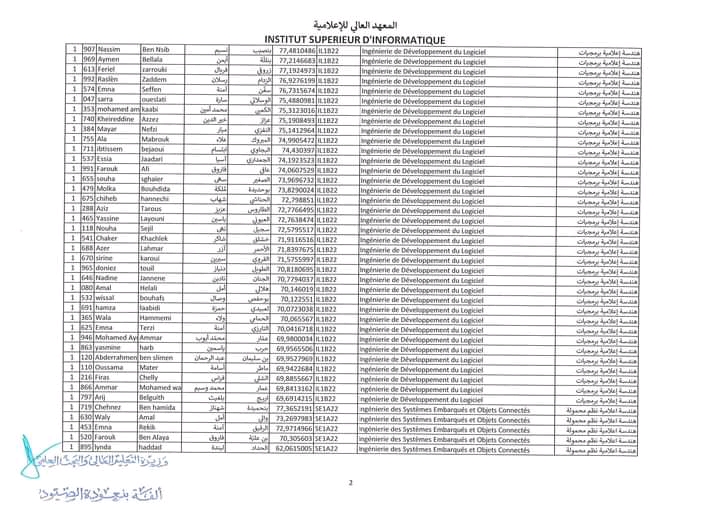
صدرت اخيرا نتائج المناظرات الخصوصية للدخول لمدارس المهندسين 2021 و قائمة اسماء الناجحين في المناظرة و توزيعهم على مدارس تكوين المهندسين هي كالتالي :











قائمة اسماء الناجحين في مناظرة خصوصية للالتحاق بمدارس تكوين المهندسين في تونس
صدرت اخيرا نتائج المناظرات الخصوصية للدخول لمدارس المهندسين 2021 و قائمة اسماء الناجحين في المناظرة و توزيعهم على مدارس تكوين المهندسين هي كالتالي :























































قائمة اسماء الناجحين في مناظرة خصوصية للالتحاق بمدارس تكوين المهندسين في تونس